Kumpulan Contoh Surat

Contoh Surat Pengunduran Diri Dari Pns Daerah



Contoh Surat Pengunduran Diri Dari Pns Daerah - Contoh surat pengunduran diri dari sekolah. Menulis surat pengunduran diri dari sekolah sebagai siswa murid adalah hal yang sangat mudah. Solo 23 januari 1976 jabatan. 1976812671526 tempat tanggal lahir. Atas perhatiannya saya ucapkan terimakasih. Khusus untuk murid maka sebaiknya surat pengunduran diri ditanda tangani juga oleh orang tua. Contoh Surat Pengunduran Diri Dari Pns Daerah Menulis contoh surat pengunduran diri guru yang baik dan benar bukanlah hal yang terlalu susah. Dk on 15 08 2016 at 09 50 said.


Contoh Surat Pengunduran Diri Dari Pns Daerah - Sementara untuk guru atau pegawai pns diharuskan melampirkan beberapa berkas sesuai peraturan. Mengajukan surat pengunduran diri dari badan eksekutif mahasiswa bem universitas azzahr contoh surat pengunduran diri kerja resmi contoh surat resign pengunduran diri pada artikel sebelumnya kita telah membahas secara lengkap mengenai surat pernyataan yang baik dan benar dan pada kesempatan ini kita akan membahas jenis surat la. Bisa dikatanakan kurang lebih sama dengan surat resign lainnya. Contoh surat pengunduran diri guru.


Related Posts of Contoh Surat Pengunduran Diri Dari Pns Daerah :


Contoh Surat Pengunduran Diri Pns Yang Baik Dan Benar Detiklife

Contoh Surat Pengunduran Diri Cpns Casn Indoamaterasu

Surat Pengunduran Diri Dokter Pns Ade

Mantapkan Diri Maju Pilbup Bintan Yudi Iskandar Mengundurkan Diri

Contoh Surat Pengunduran Diri Cpns

11 Contoh Surat Pengunduran Diri Resign Kerja Yang Baik Dan Benar


20+ Pictures Contoh Surat Pengunduran Diri Dari Pns Daerah

11 Contoh Surat Pengunduran Diri Resign Kerja Yang Baik Dan Benar

Contoh surat pengunduran diri dari pns daerah - Gara gara hari ini ada rekan kerja yang mengajukan surat pengunduran diri resign dari pns saya jadi tertarik untuk menuliskanya diblog ini lagipula diblog ini sudah sering saya tulis seputar pengalaman mutasi pns nah alangkah baiknya jika sekaligus menuliskan contoh redaksi surat pengunduran resign dari pns. Jenis surat pernyataan yang sangat beragam mungkin membuat anda merasa kebingungan ketika harus membuat salah satu jenis surat. Demikian surat pengunduran diri ini saya buat tanpa ada paksaan dari pihak manapun.


Jenis dan macam macam surat resmi juga sangat banyak dan semuanya memiliki fungsi dan tujuan masing masing yang berbeda. Saya juga pns daerah bila ada teman2 pns daerah yg pernah resign mohon infonya mengajukan pengunduran diri ke mana. 15 contoh surat resmi pemerintahan lembaga dan perusahaan proses surat menyurat memang tidak bisa dipisahkan dari kehidupan manusia.


Solo 13 juni 2019. Iv c pembina utama muda. Kepala dinas perindustrian di tempat.


Contoh surat pengunduran diri pns dari jabatan. Baik itu di dalam sebuah perusahaan instansi pemerintahan lembaga pendidikan dan lain sebagainya. Namun khusus guru pns tentunya harus melampirkan beberapa berkas pendukung untuk mempercepat proses resign.


Kabid perdagangan pangkat golongan. Hormat saya itulah contoh surat pengunduran yang dapat anda lihat kata tenaga silahkan diisikan jabatan anda di perusahaan atau instansi pemerintahan kemudian dilanjutkan dengan tempat anda bekerja. Sulistya muhaimin nip.


Tidak perlu khawatir kini telah tersedia berbagai contoh surat pernyataanuntuk berbagai keperluan sehingga memudahkan anda untuk membuat surat pernyataan sesuai kebutuhan misalnya surat pernyataan belum menikah atau surat pernyataan bebas narkoba. Saya yang bertanda tangan dibawah ini. Pertama melalui sub bagian kepegawaian rsud kemudian dilanjutkan ke badan kepegawaian daerah sekretaris daerah dan kantor regional badan kepegawaian negara.


Prosedur keluar berhenti sebagai pns adalah agar saudara membuat surat permohonan berhenti sebagai pns diketahui oleh atasan langsung dan diajukan kepada pejabat pembina kepegawaian dan menurut hemat kami sebelum surat ini diajukan agar saudara mengajukan usul kembali tentang usul mutasi tersebut sesuai dengan peraturan pemerintah nomor 9.



Gallery of Contoh Surat Pengunduran Diri Dari Pns Daerah :

Permohonan Pengunduran Diri Sebagai Dokter Ptt

16 Contoh Surat Pengunduran Diri Dari Jabatan Lengkap Contoh Surat

Surat Permohonan Pengunduran Diri Pns

Ini Isi Surat Pengunduran Diri Ahok Sebagai Gubernur Dki

Contoh Surat Pengunduran Diri Dari Jabatan Pns Dapatkan Contoh

7 Kumpulan Contoh Surat Pengunduran Diri Kerja Yang Baik Dan Benar

Contoh Surat Pengunduran Diri Dari Jabatan Fungsional Contoh

Contoh Surat Pengunduran Diri Dari Jabatan Struktural Pns Contoh

Contoh Surat Pernyataan Tidak Mempergunakan Joki Syarat Cpns

Http Jdih Karanganyarkab Go Id Admin Pdf 635 643 Pdf

Format Surat Lamaran Dan Surat Pernyataan Cpns Dki Jakarta Tahun

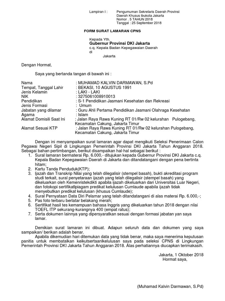
Contoh Surat Lamaran Cpns

Contoh Surat Pengunduran Diri Dari Pns Daerah - Prosedur keluar berhenti sebagai pns adalah agar saudara membuat surat permohonan berhenti sebagai pns diketahui oleh atasan langsung dan diajukan kepada pejabat pembina kepegawaian dan menurut hemat kami sebelum surat ini diajukan agar saudara mengajukan usul kembali tentang usul mutasi tersebut sesuai dengan peraturan pemerintah nomor 9. Pertama melalui sub bagian kepegawaian rsud kemudian dilanjutkan ke badan kepegawaian daerah sekretaris daerah dan kantor regional badan kepegawaian negara. Saya yang bertanda tangan dibawah ini. Tidak perlu khawatir kini telah tersedia berbagai contoh surat pernyataanuntuk berbagai keperluan sehingga memudahkan anda untuk membuat surat pernyataan sesuai kebutuhan misalnya surat pernyataan belum menikah atau surat pernyataan bebas narkoba.

Copyright 2020