Kumpulan Contoh Surat

Contoh Surat Pengunduran Diri Sebagai Pengurus Koperasi



Contoh Surat Pengunduran Diri Sebagai Pengurus Koperasi - Kalau memang ada oknum pengurus lama kpri yang menggunakan dana itu maka harus bisa dipertanggung jawabkan ujar supomo. Menjadi seorang karyawan di perusahaan ataupun badan usaha merupakan impian bagi sebagian orang. Setelah sebelumnya saya membahas tentang contoh surat lamaran kerja kali ini saya akan membahas contoh surat pengunduran diri yang baik dan benar. Berkaitan dengan hak hak keanggotaan saya berupa simpanan pokok simpanan wajib simpanan sukarela dan lain lain saya harap bisa diberikan pengurus sesuai aturan dan kesepakatan yang berlaku. Contoh surat pengunduran diri dari jabatan. Memang tidak semua orang dapat bekerja lama di suatu jabatan. Contoh Surat Pengunduran Diri Sebagai Pengurus Koperasi Dengan hormat bersama surat ini saya rochman muharif bermaksud mengundurkan diri sebagai anggota koperasi pegawai suka makmur. Atas pengajuan pengunduran diri sejumlah anggota tersebut masih akan diajukan ke pengurus kpri dan kami berharap segera ada kejelasan tentang kemana dana usaha rp 2 miliar itu.


Contoh Surat Pengunduran Diri Sebagai Pengurus Koperasi - Pergantian pengurus koperasi yang mengundurkan diri atau meninggal sebelum masa jabatan berakhir seharusnya sudah termaktup dalam ad art koperasi secara umum prosedur pengunduran diri pengurus pengawas di lakukan dengan pengajuan secara tertulis kepada pengurus pengawas. Wonogiri 25 agustus 2019. Contoh surat pengunduran diri karyawan jika anda ingin berhenti bekerja dari sebuah pekerjaan maka anda pun harus mengajukan permohonan terlebih dahulu. Contoh surat pengunduran diri sebagai anggota koperasi pandawa contoh surat pengunduran diri sebagai anggota koperasi contoh surat pengunduran diri sebagai guru contoh surat pengunduran diri sebagai kepala sekolah contoh surat pengunduran diri sebagai mahasiswa contoh surat pengunduran diri sebagai direktur contoh surat pengunduran diri sebagai perangkat desa contoh surat pengunduran.


Related Posts of Contoh Surat Pengunduran Diri Sebagai Pengurus Koperasi :


Contoh Surat Pengunduran Diri Koperasi Yang Baik Dan Benar Detiklife

Surat Permohonan Pengunduran Diri

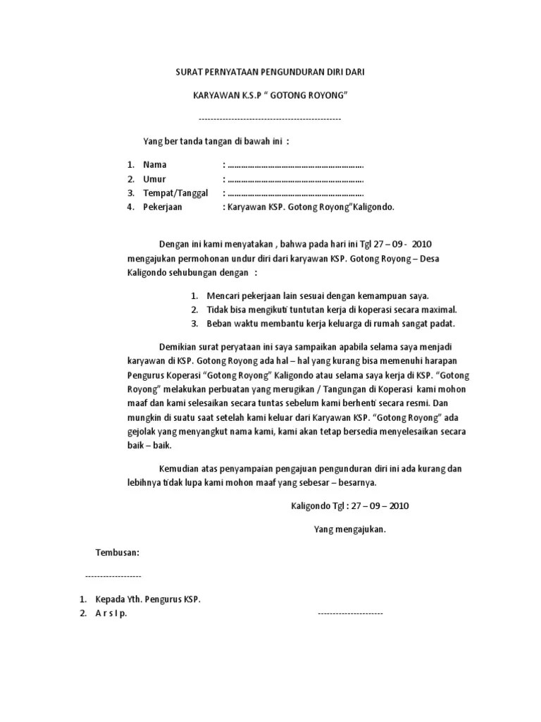
Contoh Surat Pengunduran Diri Pengurus Koperasi Modif 6

Contoh Surat Pengunduran Diri Dari Keanggotaan Koperasi Simpan

Contoh Surat Pengunduran Diri Dari Anggota Koperasi Berbagi

Contoh Surat Pengunduran Diri Dari Pengurus Koperasi Bagi Contoh


16+ Images Contoh Surat Pengunduran Diri Sebagai Pengurus Koperasi

Contoh Surat Pengunduran Diri Dari Pengurus Koperasi Bagi Contoh

Contoh surat pengunduran diri sebagai pengurus koperasi - Ratusan anggota koperasi pegawai republik indonesia kpri rukun makmur guru guru kecamatan pace kabupaten nganjuk resah. Contoh surat pengunduran diri kerja di atas termasuk yang sederhana namun tetap sopan dan beretika. Contoh surat pengunduran diri atau contoh surat resign yang baik dan benar.


Ketua koperasi pegawai suka makmur di tempat. Mengundurkan diri adalah sesuatu yang wajar dilakukan oleh siapaun yang berada dalam sebuah tanggung jawab perusahaan organisasi atau instansi lainnya. Namun terkadang dikarenakan berbagai alasan seseoran harus dan terpaksa untuk mengundurkan diri dari suatu kelompok.


15 contoh surat pengunduran diri dari organisasi paling lengkap keputusan untuk mengundurkan diri dari suatu perkumpulan atau kelompok tentu merupakan keputusan yang besar dan bisa memberikan dampak tertentu terhadap diri anda sendiri. Contoh surat pengunduran diri adalah jenis surat yang banyak diperlukan saat ini baik di kantor ia bekerja maupun di sekolah sekolah juga organisasi tempat dia berkecimpung selama ini biasanya surat ini dibuat ketika akan mengembangkan kemampuan dan ilmunya di tempat lain atau juga bisa jadi karena sudah tidak cocok dengan tempatnya yang sekarang dan ingin mencari suasana baru. Ada orang orang yang sangat mudah bosan sehingga merasa tidak nyaman dengan jabatan yang tak kunjung berganti.


Langkah ini tidak hanya sebagai formalitas saja namun memiliki manfaat yang besar.



Gallery of Contoh Surat Pengunduran Diri Sebagai Pengurus Koperasi :

Surat Permohonan Pengunduran Diri

Contoh Surat Pengunduran Diri Dari Pengurus Koperasi

10 Contoh Surat Pengunduran Diri Atau Resign Cara Membuatnya

Blog Pendidikan Contoh Surat Pengunduran Diri Karyawan Pabrik

Contoh Surat Pengunduran Diri Bendahara Yang Baik Dan Benar

Surat Permohonan Pengunduran Diri Dari Keanggotaan Koperasi

10 Contoh Surat Pengunduran Diri Resign Dengan Alasan Yang Baik

31 Contoh Surat Pengunduran Diri Surat Resign Kerja Dengan

Pergantian Pengurus Koperasi Yang Mengundurkan Diri Koperasi Net

Contoh Surat Pengunduran Diri Anggota Koperasi

Contoh Surat Pengunduran Diri Sebagai Pengurus Masjid Berbagi

108923941 Buku Buku Koperasi 1

Contoh Surat Pengunduran Diri Sebagai Pengurus Koperasi - Langkah ini tidak hanya sebagai formalitas saja namun memiliki manfaat yang besar. Ada orang orang yang sangat mudah bosan sehingga merasa tidak nyaman dengan jabatan yang tak kunjung berganti. Contoh surat pengunduran diri adalah jenis surat yang banyak diperlukan saat ini baik di kantor ia bekerja maupun di sekolah sekolah juga organisasi tempat dia berkecimpung selama ini biasanya surat ini dibuat ketika akan mengembangkan kemampuan dan ilmunya di tempat lain atau juga bisa jadi karena sudah tidak cocok dengan tempatnya yang sekarang dan ingin mencari suasana baru. 15 contoh surat pengunduran diri dari organisasi paling lengkap keputusan untuk mengundurkan diri dari suatu perkumpulan atau kelompok tentu merupakan keputusan yang besar dan bisa memberikan dampak tertentu terhadap diri anda sendiri.

Copyright 2020