Kumpulan Contoh Surat

Contoh Surat Perjanjian Sewa Menyewa Rumah Beserta Isinya



Contoh Surat Perjanjian Sewa Menyewa Rumah Beserta Isinya - Contoh surat perjanjian no. Ya ada baiknya jika urusan sewa menyewa atau kontrak rumah tidak hanya dilakukan secara lisan dan berlandaskan rasa saling percaya semata. Pemberian informasi tersebut dapat dilakukan dengan dua cara yaitu secara lisan maupun tertulis. Berikut kami berikan beberapa contoh surat yang mungkin bisa dimanfaatkan sebagaimana mestinya. Amir komarudin nomer ktp. Contoh surat perjanjian sewa rumah. Contoh Surat Perjanjian Sewa Menyewa Rumah Beserta Isinya Contoh surat perjanjian jual beli rumah secara umum surat adalah sebuah sarana komunikasi dalam bentuk tulisan tangan atau dalam bentuk ketikan. Rumahcom contoh surat perjanjian sewa rumah ini tentunya akan sangat berguna bagi anda baik sebagai pemilik rumah atau sebagai pengontrak.


Contoh Surat Perjanjian Sewa Menyewa Rumah Beserta Isinya - Semoga contoh surat perjanjian sewa menyewa rumah ini berguna dan membantu melindungi hak hak anda baik selaku pihak penyewa atau yang menyewakan rumah. 002718947 selanjutnya disebut pihak pertama. Contoh surat perjanjian kontrak rumah sederhana. Contoh surat perjanjian sewa menyewa ruko 1.


Related Posts of Contoh Surat Perjanjian Sewa Menyewa Rumah Beserta Isinya :


Contoh Surat Perjanjian Sewa Tanah Dan Bangunan Yang Singkat

Contoh Surat Perjanjian Sewa Menyewa Kontrak Rumah Doc Sekitar Rumah

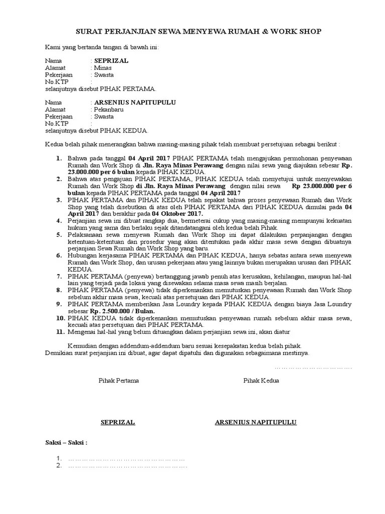
Surat Perjanjian Kontrak Rumah Doc Word Detiklife

Http Contoh Surat Id Blogspot Com 2014 11 Contoh Surat

Contoh Surat Perjanjian Sewa Menyewa Kontrak Rumah Word Contoh

4 Contoh Surat Perjanjian Sewa Rumah Detiklife


16+ Images Contoh Surat Perjanjian Sewa Menyewa Rumah Beserta Isinya

4 Contoh Surat Perjanjian Sewa Rumah Detiklife

Contoh surat perjanjian sewa menyewa rumah beserta isinya - Contoh surat perjanjian suatu kontrak atau perjanjian adalah suatu peristiwa di mana seorang berjanji kepada orang lain atau di mana dua orang itu saling berjanji untuk melaksanakan suatu hal. Terkait informasi seputar legalitas tanah mengurus sertifikat imb hingga seputar perpajakan cari tahu di sini. Teluk jambe gang pesona rt 03 05 no.


Orang yang nak menyewa rumah wajib melawat rumah tersebut terlebih dahulu dan sahkan harga sewa serta deposit yang kena bayar. Hal ini dimaskudkan untuk meminimalisir terjadinya kelalaian dalam berlangsungnya sewa menyewa rumah. Seperti telat membayar uang sewa bulanan pemutusan masa penyewaan secara sepihak hingga penggunaan rumah sewa dengan tujuan lain.


Pihak kedua berkewajiban untuk menyerahkan rumah beserta isinya kepada pihak pertama dalam keadaan kosong dari seluruh penghuninya terawat dan bersih apabila masa sewa telah berakhir. Pasal 9 untuk perpanjangan sewa pihak kedua harus memberitahukan kepada pihak pertama satu bulan sebelum masa berlakunya habis dan akan dibuatkan perjanjian. 214 cibinong bogor pekerjaan.


Sebelumnya sudah kita berikan contoh surat perjanjian jual beli langsung saja berikut contoh surat perjanjian kontrak rumah. Surat perjanjian sewa menyewa rumah kantor ruko kami yang bertanda tangan di bawah ini. Guna menghindari hal yang tak diinginkan di kemudian hari tak ada salahnya jika anda membuat perjanjian kontrak.


4 tanggungjawab tuan rumah. Contoh surat perjanjian sewa rumah pdf doc. Contoh surat perjanjian kontrak rumah atau bisa disebut juga contoh surat perjanjian sewa menyewa rumah.


Karyawan swasta telepon. Pegawai negeri sipil no ktp. Saat b erkomunikasi dalam keseharian kita saling memberikan informasi antara satu dengan yang lain.


Boleh letak klaus untuk sambung sewa dalam kontrak beserta syarat tau. Yang bertanda tangan di bawah ini sebagai pihak pertama atau pemilik rumah. Melalui kontrak terciptalah perikatan atau hubungan hukum yang menimbulkan hak dan kewajiban pada masing masing pihak yang membuat kontrak.



Gallery of Contoh Surat Perjanjian Sewa Menyewa Rumah Beserta Isinya :

10 Contoh Surat Perjanjian Sewa Kontrak Yang Baik Dan Benar

Contoh Surat Perjanjian Rental Atau Sewa Kendaraan Yang Baik Dan

Doc Surat Perjanjian Sewa Menyewa Rumah Perjanjian Sewa Menyewa

Doc Surat Perjanjian Kontrak Rumah Putri Maria Ulfa Academia Edu

Contoh Surat Perjanjian Sewa Gedung Kantor Contoh Seputar Surat

Contoh Surat Perjanjian Sewa Rumah Kontrakan Pdf Doc Surat

Download 3 Contoh Surat Perjanjian Sewa Kontrak Rumah Doc

Hasil Gambar Untuk Contoh Surat Perjanjian Sewa Tempat Usaha

Contoh Surat Perjanjian Sewa Menyewa Kontrak Rumah Contoh

Contoh Surat Perjanjian Sewa Alat Berat Word Contoh Seputar Surat

Contoh Surat Perjanjian Sewa Menyewa Gedung Perkantoran Contoh

Contoh Surat Perjanjian Sewa Rumah Kontrakan Pdf Doc Rumah

Contoh Surat Perjanjian Sewa Menyewa Rumah Beserta Isinya - Melalui kontrak terciptalah perikatan atau hubungan hukum yang menimbulkan hak dan kewajiban pada masing masing pihak yang membuat kontrak. Yang bertanda tangan di bawah ini sebagai pihak pertama atau pemilik rumah. Boleh letak klaus untuk sambung sewa dalam kontrak beserta syarat tau. Saat b erkomunikasi dalam keseharian kita saling memberikan informasi antara satu dengan yang lain.

Copyright 2020