Kumpulan Contoh Surat

Contoh Surat Pernyataan Penanggung Jawab Utang



Contoh Surat Pernyataan Penanggung Jawab Utang - Tempat tanggal lahir. Selain surat pernyataan kerja dan belum menikah biasanya yang paling sering diminta ketika melamar pekerjaan adalah surat pernyataan bebas narkoba dan obat terlarang. Ada contoh surat pernyataan perjanjian contoh surat pernyataan kesalahan contoh surat pernyataan diri contoh surat pernyataan kerja contoh surat pernyataan sekolah contoh surat pernyataan hutang contoh. Contoh surat pernyataan selamat datang di portal hidupsimpel pada kesempatan kali ini kita akan membahas lengkap 11 contoh surat pernyataan saya kalau buat tidak nanggung nanggung. Surat pernyataan tanggung jawab mutlak orang tua wali yang bertanda tangan di bawah ini. Contoh surat pernyataan hutang perihal hutang piutang adalah hal yang sering kita temukan. Contoh Surat Pernyataan Penanggung Jawab Utang Nama lengkap orang tua. Biasanya surat ini dibuat dengan membutuhkan tes secara medis sehingga bisa dibuktikan.


Contoh Surat Pernyataan Penanggung Jawab Utang - Surat pernyataan penanggung jawab perusahaan lampiran ii angka 1. Namun untuk kasus tertentu adakalanya harus menggunakan pernyataan tertulis. Yang bertanda tangan dibawah ini. Contoh surat pernyataan tentang tanggung jawab pekerjaannya berikut ini adalah contoh surat pernyataan pejabat perusahaan mengenai pekerjaaan yang menjadi tanggung jawabnya.


Related Posts of Contoh Surat Pernyataan Penanggung Jawab Utang :


Surat Perjanjian Tanggung Renteng Utang

M 20b Surat Pernyataan Dan Pengakuan Hutang Pada Hari Ini

Perjanjian Hutang Piutang Sederhana Dengan Jaminan Bermaterai

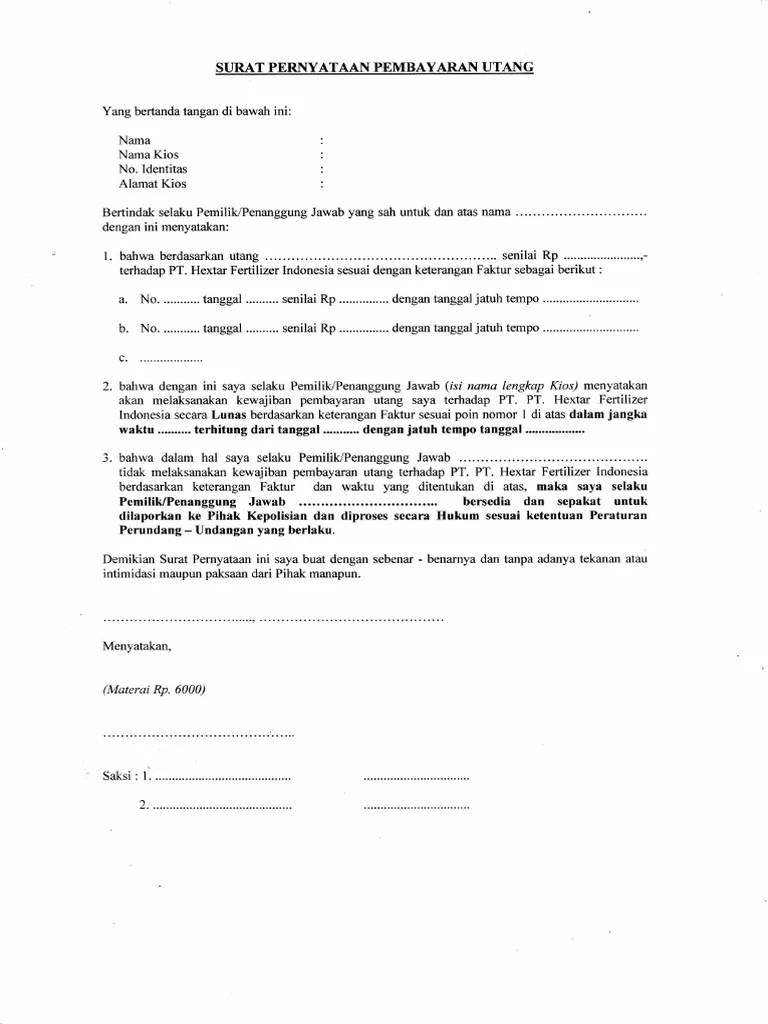
Surat Pernyataan Pembayaran Hutang

16 Contoh Surat Pernyataan Penyesalan Kerja Bebas Narkoba Dll

Https Www Danamon Co Id Media All Content Personal Banking Pdf Produk Form Sanggahan Surat Pernyataan Pengajuan Keringanan Kredit Covid19 Pdf La Id Hash 3da0e193988035abc31493a783f485cc029fcb35


19+ Pictures Contoh Surat Pernyataan Penanggung Jawab Utang

Https Www Danamon Co Id Media All Content Personal Banking Pdf Produk Form Sanggahan Surat Pernyataan Pengajuan Keringanan Kredit Covid19 Pdf La Id Hash 3da0e193988035abc31493a783f485cc029fcb35

Contoh surat pernyataan penanggung jawab utang - Disini anda dituntut untuk menulis dengan sebenarnya dan harus menepati pernyataan tersebut. Contoh surat pernyataan hutang. Nama calon siswa.


Berikut ini contoh surat pernyataan bersedia sebagai penanggung jawab toko obat. Contoh surat pernyataan kesanggupan membayar hutang tidak pernah bosannya kami menghadirkan informasi seputar kumpulan contoh surat. Seperti yang kita ketahui bersama surat merupakan salah satu media untuk menyampaikan sebuah informasi baik itu informasi berupa undangan maupun sebuah pernyataan.


Dengan meminjam dana dari orang lain maka anda akan memiliki keterikatan dengan orang yang meminjamkan uang tersebut. Ada banyak atau pihak yang menjadi peminjam pihak berhutang dan ada orang atau pihak yang memberikan pinjaman. Contoh surat pernyataan bebas narkoba.


Diisi dengan nama yang bertanda tangan di surat pernyataan angka 2. Masa berlaku strttk. Keterikatan tersebut berupa kewajiban anda untuk membaya hutang dan hak pemberi pinjaman untuk menagih uang yang sudah anda pinjam terlebih dahulu.


Diisi dengan jabatan yang bertanda tangan di surat pernyataan direktur presiden direktur direktur utama pimpinan perusahaan lainnya. Contoh surat pernyataan kesanggupan mengenai kesanggupan atau tidak pada beberapa kasus mungkin bisa disampaikan secara lisan.



Gallery of Contoh Surat Pernyataan Penanggung Jawab Utang :

Surat Lengkap Contoh Surat Pernyataan Kesanggupan Pembayaran Hutang

3 Contoh Surat Perjanjian Kesepakatan Hak Asuh Anak Dan Hutang

30 Contoh Surat Perjanjian Yang Baik Dan Benar 2020 Contoh Surat

Pdf Contoh Surat Perjanjian Kredit Fh Uii Fliks Multiart

Contoh Surat Perjanjian Arisan Yang Sah Dan Benar Detiklife

15 Contoh Surat Pernyataan Hutang Yang Benar Dan Paling Lengkap

18 Contoh Surat Kuasa Lengkap Berbagai Keperluan Yang Baik Dan Benar

Doc Surat Pernyataan Pelunasan Hutang Piutang Vina Marissa

Surat Pernyataan Pengembalian Modal Usaha Sppmu Stasashi

Http Repository Beacukai Go Id Peraturan 2019 02 Aaf67a543d08e730168c525e2a765ccb Per 32 Bc 2018 Pdf

Contoh Surat Contoh Surat Pernyataan Pakta Integritas Bermaterai

35 Contoh Surat Pernyataan Kerja Kesanggupan Diri Dll Contoh

Contoh Surat Pernyataan Penanggung Jawab Utang - Contoh surat pernyataan kesanggupan mengenai kesanggupan atau tidak pada beberapa kasus mungkin bisa disampaikan secara lisan. Diisi dengan jabatan yang bertanda tangan di surat pernyataan direktur presiden direktur direktur utama pimpinan perusahaan lainnya. Keterikatan tersebut berupa kewajiban anda untuk membaya hutang dan hak pemberi pinjaman untuk menagih uang yang sudah anda pinjam terlebih dahulu. Masa berlaku strttk.

Copyright 2020