Kumpulan Contoh Surat

Contoh Surat Pernyataan Penyerahan Perusahaan



Contoh Surat Pernyataan Penyerahan Perusahaan - Kepada yth direktur pt. Maka pada hari ini senin tanggal 3 april 2017 telah diserahterimakan inventaris perangkat komputer milik perusahaan dengan data sebagai berikut. Dalam bentuknya jika disebutkan secara lisan pernyataan sulit untuk dapat dibuktikan kecuali bila ada saksi. Sebagai bahan referensi dan sebagai gambaran untuk anda yang sedang mencari bentuk sebuah surat pernyataan yang baik dan benar maka saya akan memberikan sampel agar dapat dipergunakan sebagai bahan rujukan. Surat penangguhan atau penundaan pembayaran. Terkadang perusahaan perlu mengeluarkan surat pernyataan untuk beberapa keperluan. Contoh Surat Pernyataan Penyerahan Perusahaan Contoh surat pernyataan belakangan ini penggunaan surat memang bisa dibilang sudah semakin minim terlebih untuk urusan pribadi. Contoh surat pernyataan kesalahan dimana kaki berpijak disitu langit dijunjung.


Contoh Surat Pernyataan Penyerahan Perusahaan - 5 contoh surat pernyataan kerja untuk. Jika melanggar sudah tentu akan menerima konsekuensi atas kesalahan yang sudah diperbuat bahkan juga membuat pernyataan kesalahan. Kecanggihan teknologi sekarang ini menjadikan komunikasi serba digital yang tentunya sangat memudahkan orang dalam berkomunikasi. Contoh surat pernyataan perusahaan kalau yang satu ini bukan untuk kepentingan pribadi tetapi untuk kepentingan perusahaan dimana surat ini berfungsi sebagai pernyataan dari perusahaan untuk pemerintah.


Related Posts of Contoh Surat Pernyataan Penyerahan Perusahaan :


Surat Pernyataan Penyerahan 1 Unit Mobil

Surat Pernyataan Penyerahan Dokumen Asli

Form Surat Pernyataan Penyerahan Ijazah Docx

Contoh Surat Pernyataan Aset Christmas Pix

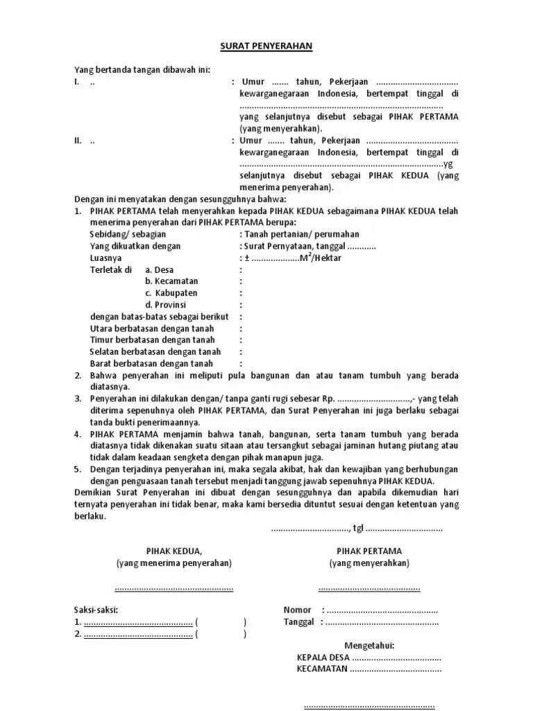
Surat Pernyataan Penyerahan

I M Reading Surat Pernyataan Penyerahan Tanah1 On Scribd Tanggal


16+ Pictures Contoh Surat Pernyataan Penyerahan Perusahaan

I M Reading Surat Pernyataan Penyerahan Tanah1 On Scribd Tanggal

Contoh surat pernyataan penyerahan perusahaan - Contoh surat pernyataan perusahaan. Contoh surat pernyataan penyerahan sertifikat tanah sertifikat adalah surat tanda bukti untuk hak atas tanah hak pengelolaan tanah wakaf hak milik atas satuan rumah susun dan hak tanggungan yang masing masing sudah dibukukan dalam buku tanah yang bersangkutan. Kop perusahaan 16 juli 2020.


Namun untuk urusan komunikasi perusahaan maupun berbagai lembaga maupun instansi pemerintah penggunaan surat masih merupakan sesuatu hal yang wajib untuk dilakoni. Contoh surat pernyataan pernyataan bisa dilakukan secara lisan maupun non lisan atau tertulis. 15 contoh surat resmi perusahaan beserta penjelasannya untuk penggunaan pribadi maupun dalam menyampaikan informasi secara pribadi penggunaan surat memang sudah sangat jarang ditemukan.


Dimanapun kita berada tentu ada peraturan dan norma norma yang harus dipatuhi. Sebagai contoh surat perusahaan di bawah ini berisi pernyataan resmi bahwa perusahaan akan mematuhi segala peraturan yang berlaku sebagai persyaratan untuk mendapatkan tender pengadaan barang dan jasa. Pernyataan yang diberikan secara lisan sering kali sulit untuk diingat dengan secara rinci.


Surat ini sebaiknya segera dibubuhkan tanda tangan saat ada prosesi penyerahan suatu barang dari satu pihak ke pihak lain. Contoh surat pernyataan sebuah surat pernyataan sering kali dipergunakan untuk berbagai keperluan baik di dunia kerja maupun untuk keperluan perjanjian lainnya.



Gallery of Contoh Surat Pernyataan Penyerahan Perusahaan :

A4 Formulir 3 Surat Pernyataan Penyerahan Barang Jaminan Dan

Contoh Surat Pernyataan Penyerahan Hak Asuh Anak Contoh Seputar

Surat Pernyataan Penyerahan Usaha

Surat Keterangan Serah Terima Ijazah

Contoh Surat Pernyataan Penyerahan Barang Jawat Koso

Contoh Surat Serah Terima Pekerjaan Yang Terbaik Untuk Cuti Guru Dll

20 Contoh Surat Tanda Terima Serah Terima Uang Barang Dan

Surat Pernyataan Penyerahan Dokumen Asli 2018 Docx Kop

5 Contoh Surat Serah Terima Jabatan Berbagai Keperluan Surat

Contoh Surat Perjanjian Adopsi Anak Kumpulan Contoh Terlengkap

Surat Pernyataan Pinjaman Uang Ke Perusahaan Contoh Seputar Surat

Surat Pernyataan Penyerahan Agunan

Contoh Surat Pernyataan Penyerahan Perusahaan - Contoh surat pernyataan sebuah surat pernyataan sering kali dipergunakan untuk berbagai keperluan baik di dunia kerja maupun untuk keperluan perjanjian lainnya. Surat ini sebaiknya segera dibubuhkan tanda tangan saat ada prosesi penyerahan suatu barang dari satu pihak ke pihak lain. Pernyataan yang diberikan secara lisan sering kali sulit untuk diingat dengan secara rinci. Sebagai contoh surat perusahaan di bawah ini berisi pernyataan resmi bahwa perusahaan akan mematuhi segala peraturan yang berlaku sebagai persyaratan untuk mendapatkan tender pengadaan barang dan jasa.

Copyright 2020